各位考生:
现将裸聊
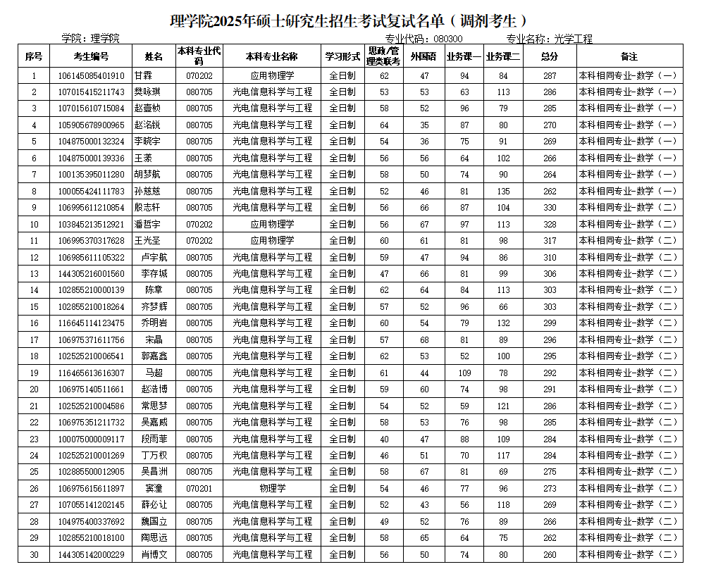
调剂复试名单予以公布(第二批)。
复试时间:光学工程4月11日15:00开始;光电信息工程4月11日15:00开始。
请参加复试的考生认真学习《裸聊
2025年硕士研究生招生调剂工作细则》,尽快注册两个个人钉钉账户,参加线上复试,受邀加入相应的分组并将相关材料发送至学院指定邮箱:lxy@xsyu. edu.cn。
具体复试相关事宜将会在复试群里进行通知,请进入复试名单学生及时进群,进群后修改备注(格式:姓名+调剂专业)。
调剂复试QQ群如下:
光学工程:863134833 光电信息工程:1043154696


联系人:黄老师 陈老师
联系电话:029-88382735
裸聊
2025年4月11日